2018年10月の記事一覧

フィボナッチ数列と置換

━━━━━━━━━━━━━━━━━━━━
数学月間SGK通信 [2018.10.16] No.237
<<数学と社会の架け橋=数学月間>>
━━━━━━━━━━━━━━━━━━━━
フィボナッチ数列というのは,1,1,2,3,5,8,13,....のように続く数列です.
この数列のn項a(n)は,a(n)=a(n-1)+a(n-2)と再帰的に定義できます.
フィボナッチ数列は,様々な分野の思いがけないところで出現します.
この再帰的な機構が支配している現象が様々な分野にあるからです.

集合S(n)={1,2,3,....,n}を考えます.この集合の上の置換を考えます.
置換の結果は,n個の文字の順列になりますから,n!個の置換があります.

さて,文字が始めの位置から移動しない,あるいは,たかだか隣への移動だけが許される
と制限してみます.つまり,どの文字も1つおいた隣以上の移動はしない置換だけを対象にします.
このような置換を,「距離1の置換」と呼ぶことにします.
具体例(次の図)を示すので,「距離1の置換」とは何かは理解できるでしょう.



 

 

 

 

 

 

 

 

 

 

 

 Qestion
S(n)上の「距離1の置換」の数をa(n)個とします.n≧1に対してa(n)を求めなさい.
Answer
S(1)に対しては,a(1)=1
S(2)に対しては,a(2)=2
S(3)に対しては,a(3)=3
であることを,確認してください.
次は,a(n)=a(n-1)+a(n-2)が成立することを証明します.
・S(n)の最後のnを動かさない「距離1の置換」の数は,S(n-1)上の「距離1の置換」の数a(n-1)と同じ.
・S(n)で最後のnを動かすとすれば,nの行先はn-1で,空いたnの位置に来れるのはn-1しかありません.
従って,この場合の「距離1の置換」の数はS(n-2)上の「距離1の置換」の数a(n-2)と同じです.

さて,S(n)の最後のnが動くか/動かないかは互いに背反の事象ですから,
両者の和 a(n-1)+a(n-2)がa(n)に等しくなります.(証明終わり)

この式の形は,フィボナッチ数列の定義と同じ形ですから,
a(n)は,第1項が1,第2項が2から始まるフィボナッチ数列になります.

0

フィボナッチ数列が現れる例★

━━━━━━━━━━━━━━━━━━━━
数学月間SGK通信 [2018.10.30] No.239
<<数学と社会の架け橋=数学月間>>
━━━━━━━━━━━━━━━━━━━━
フィボナッチ数列F(n)は,
1,1,2,3,5,8.13,21,34,.....のような数列です.
F(n)=F(n-1)+F(n-2) と再帰的に定義されます.
このような数列は,いろいろな所に現れます.
得られた数列が,フィボナッチ数列であることを証明するには数学的帰納法を用います.
今回は,その典型的な例を取り上げましょう.

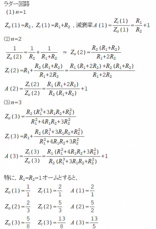
■抵抗ラダー回路

ラダーとは梯子のことで,梯子型に抵抗を並べた回路を,抵抗ラダー回路といいます.
例えば,次の図は3段のラダー回路です.

 

 

 

 

A-Bの端子(入力側)から見たインピーダンスをZ_i,
C-Dの端子(出力側)から見たインピーダンスをZ_oとします.
この3段のラダー回路は,A-B側(入力側)にR1の抵抗があるが,C-D側(出力側)にはないので,
左右対称ではありません.入力側から見たインピーダンスと出力側から見たインピーダンスの比から,
減衰率Z_i/Z_o≡Aが定義されるが,A>1なのでアッテネータ(減衰器)として使えます.
抵抗値をすべて同じR1=R2=1とすると,
ラダーの段数mを増やしていくと,減衰率A(m)=F(2m+1)/F(2m-1)は,2/1,5/2,13/5,34/13,...と
フィボナッチ数列が出てきます.
(参考)計算は以下をご覧ください.証明は数学的帰納法を使う練習になります.

 

 

 

 

 

 

 

 

 

 

 

 

 

 

 

 

 

 

 

 

 

■ラダー回路の応用例
ラダー回路は,アナログ信号が入力されたときに,そのアナログ信号の大きさを,瞬時に8水準に分類する(8ビットのデジタル化)回路(これを8ビットのAD変換といいます)に使われたりもします.
次の図をご覧ください.

コンパレータが7個並列に並んでいますね(カスケード結合).
入力信号の大きさを8水準に分類するのは,
7個のコンパレータの働きで,
その境界値となる7段階の基準電位をそれぞれに供給します.
この7つの基準電位を発生するのが,
一番左の直列に並んだ抵抗ラダー回路です.
nビットのAD変換には(2^n)-1個のコンパレータと基準電位がいります.

0

家庭科・調理 角の3等分

━━━━━━━━━━━━━━━━━━━━
数学月間SGK通信 [2017.11.07] No.192
<<数学と社会の架け橋=数学月間>>
━━━━━━━━━━━━━━━━━━━━
与えられた任意の角の3等分は実在しますが,定規とコンパスだけでは,
これを作図できないということは多分ご存知でしょう.
以下は,ギリシャの幾何学者達が熱心に研究した不可能作図問題です:
(1)与えられた正立方体の2倍の体積の正立方体を作れ
(2)与えられた円と同じ面積の正方形を作れ
(3)任意に与えられた角を3等分せよ
もちろんこのような図形は実在しますが,作図手段を,「定規とコンパスだけを有限回使って」と制限して作図ができるか?という問題です.

■長さa, bの2つの線分が与えられたとき,直線定規とコンパスだけを用いて,
加法a+b,減法a-b,乗法a・b,除法a/b,開平√a
の作図が可能なことは,以下の図をご覧ください.

 

 

 

 

 

 

 

 

 

 

 

 

 

 

 

 

 

 

 

 

 

 

 

 

定規とコンパスで作図できる長さ

これ以外の作図(例えば,立方根の作図)は定規とコンパスでは出来ません
(証明は難しいのでスキップ).

 (1)ではx3=2(a3)だから,2の立方根の作図が必要
 (2)では,x2=π(r2)だから,πという無理数の開平の作図が必要
 (3)では,x3-3x-a=0という角3等分の方程式の根であるxの作図が必要です.
[ただし,aは,与えられる角度Ω(cosΩ=a/2)により決まる]
例えば,Ω=90°(a=0)のときは,x=√3の作図になり,これは可能です.
しかし,一般角の場合,この3次式の解には3乗根が入ってきますので,作図は出来ません.
注)この角3等分の方程式の導出は以下の図をご覧ください.

 

 

 

 

 

 

 

 


任意の角度の3等分方程式

例として,Ω=60°(a=1)のときは,x3-3x-1=0となり,
p+q√r (p,q,rは有理数)の形の解を持たないので,
角の3等分の作図は(定規とコンパスでは)できません.

0